Wan-Hsiang Hu, MD, PhD, FACS
Chief of colorectal surgery department
Chang Gung Memorial Hospital, Kaohsiung
Kaohsiung, Kaohsiung, Taiwan (Republic of China)
All of the relevant financial relationships listed below have been mitigated.
This individual has no financial relationships with ineligible companies.
Kaplan-Meier plots of 5-year disease free survival in colorectal cancer patients stratified by the age of 50 years. The patients under the age of 50 years had better survival from stage 0 to III (A-D) and poor survival in stage IV and all stages (E,F).
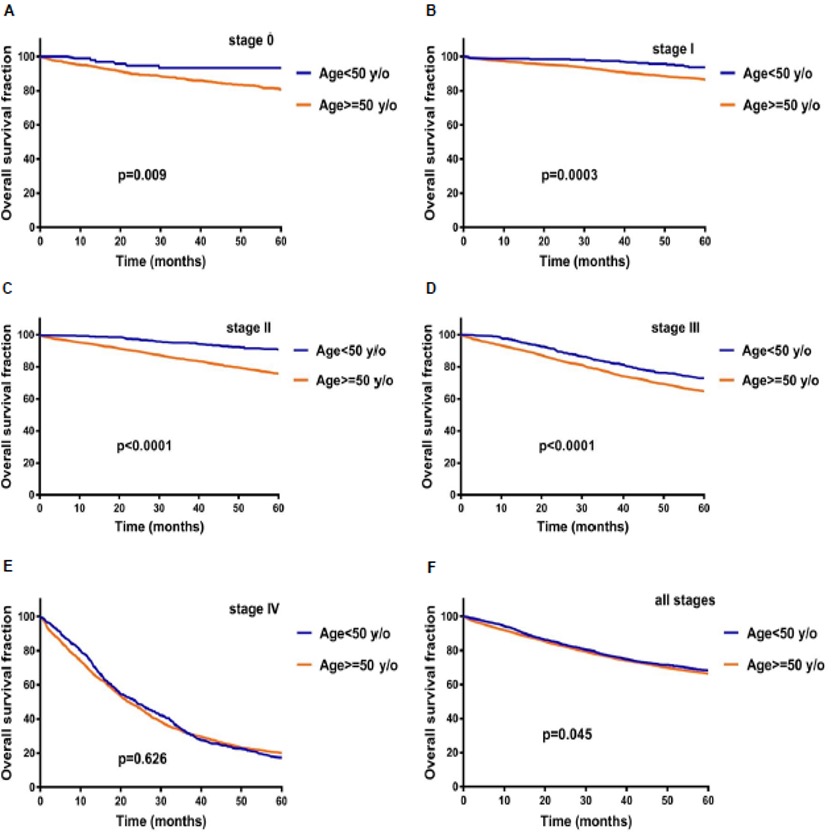
Kaplan-Meier plots of 5-year overall survival in colorectal cancer patients stratified by the age of 50 years. The patients under the age of 50 years had better survival from stage 0 to III (A-D) and poor survival in stage IV and all stages (E,F).