Carter H. Quinn, n/a
Medical Student
Medical College of Georgia
Marietta, Georgia, United States
All of the relevant financial relationships listed below have been mitigated.
This individual has no financial relationships with ineligible companies.
Malek Moumne, n/a
Medical Student
Medical College of Georgia
Augusta, Georgia, United States
Disclosure information not submitted.
Ryan Quisling, n/a
Medical Student
Medical College of Georgia
Augusta, Georgia, United States
Disclosure information not submitted.
Lauren Springsteen, n/a
Medical Student
Medical College of Georgia
Augusta, Georgia, United States
Disclosure information not submitted.
Palmer Jonathan, n/a
Medical Student
Medical College of Georgia
Augusta, Georgia, United States
Disclosure information not submitted.
Sohawm Sengupta, n/a
Medical Student
Medical College of Georgia
Augusta, Georgia, United States
Disclosure information not submitted.
Luke Guy, n/a
Medical Student
Medical College of Georgia
augusta, Georgia, United States
Disclosure information not submitted.
Gustavo Capo, n/a
Medical Student
Medical College of Georgia
Augusta, Georgia, United States
Disclosure information not submitted.
Yagni Patel, n/a
Medical Student
Medical College of Georgia
Augusta, Georgia, United States
Disclosure information not submitted.
Swadha Guru, MD
Assistant Professor
Medical College of Georgia
Henry Ford Hospital
Augusta, Georgia, United States
Disclosure information not submitted.
Danny Yakoub, MD, PHD
Chief of Division of Surgical Oncology
Medical College of Georgia at Augusta University - Georgia Cancer Center
Augusta, Georgia, United States
All of the relevant financial relationships listed below have been mitigated.
This individual has no financial relationships with ineligible companies.
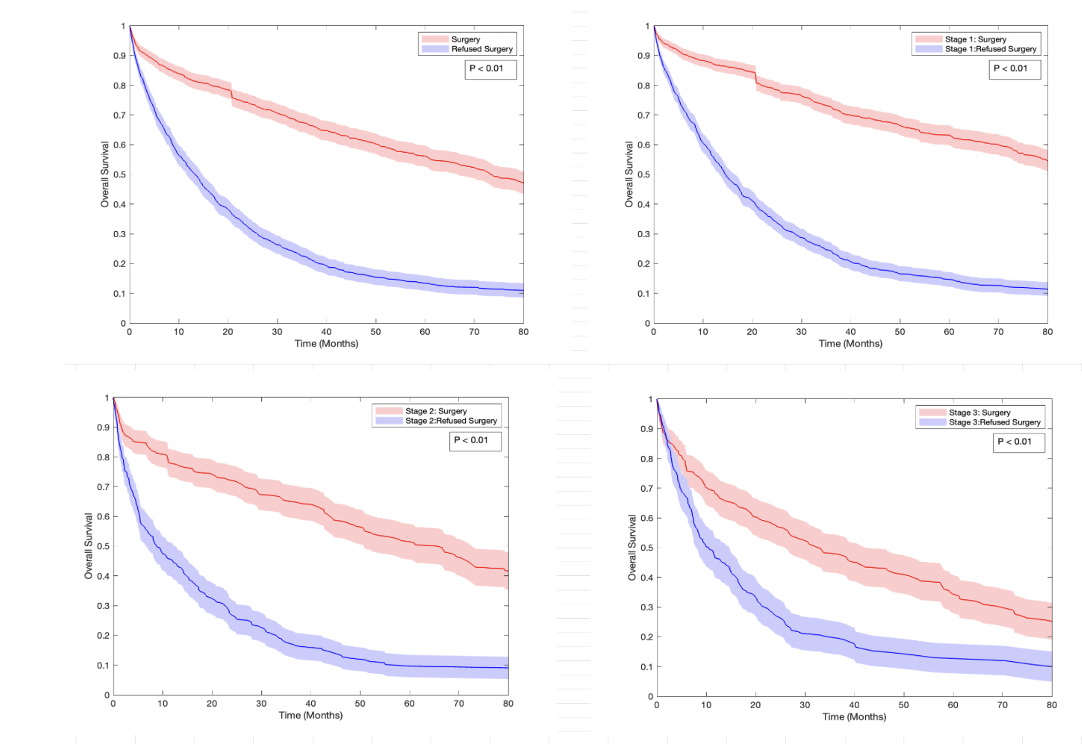
Overall survival comparing patients who declined surgery with those who underwent surgical resection across all stages (a), patients with clinical stage I disease (b), patients with clinical stage II disease (c), patients with Stage III disease (d).